ТЕХНОЛОГИЯ АЭРОДИНАМИЧЕСКОЙ СУШКИ ДРЕВЕСИНЫ ХВОЙНЫХ ПОРОД БЕЗ ИСКУССТВЕННОГО УВЛАЖНЕНИЯ

 

Чернышев А.Н. (ГОУ ВПО ВГЛТА, г. Воронеж, РФ)

 

The features and technological modes of drying softwood lumber wind without artificial hydration for the manufacture of lumber and windows.

 

Сушка влажных материалов, или тепло- и влагообмен между  высушиваемым пиломатериалом и средой, является не столько теплотехническим процессом, сколько технологическим, в котором изменяются свойства высушиваемого материала. Поэтому задача сушки состоит в том, чтобы быстро высушить материал с качеством, удовлетворяющим определённым требованиям при минимальных производственных затратах.

Отличительной особенностью сушки древесины в аэродинамических камерах  любой мощности является изменение во времени температурно- влажностных параметров среды без искусственного её увлажнения. Отсутствие технологического пара на увлажнение сушильного агента вызывает дополнительные трудности поддержания режимных параметров среды с точки зрения их безопасности. Длительность процесса при этом обусловливается тепловой мощностью камеры, её герметичностью, характеристикой материала и внешними условиями сушки.

При сушке пиломатериалов в аэродинамических камерах при переменных условиях среды, когда происходит испарение влаги с постепенным углублением границы фазового перехода и увеличением критерия фазового перехода ε, процесс теплоотдачи значительно уменьшается. Особенностью  закономерностей механизма переноса тепла и влаги к поверхности материала является их взаимосвязь как единого комплексного процесса аэродинамической сушки при нестационарных полях температуры, влажности и скоростях в обрабатывающей среде и внутри материала. В первую очередь это связано с перегревом поверхности материала и снижением интенсивности сушки. Сухой слой поверхностной зоны материала препятствует передаче тепла во внутреннюю зону, а снижение разности между температурами среды и поверхности создаёт дополнительное сопротивление движению теплового потока, что приводит к снижению коэффициента теплообмена.     

Совокупность этих явлений при сушке в  аэродинамических камерах, в которых условия среды изменяются во времени, а степень насыщенности агента сушки можно изменить только за счёт влаги, испаряемой из материала, кинетика (среднее значение потенциалов переноса) процесса в значительной мере определяется физико-механическими свойствами самого материала. Изменение локальной влажности и локальной температуры с течением времени зависит от взаимосвязанного механизма переноса влаги и тепла внутри материала и  массо-  и теплообмена поверхности материала с окружающей средой и напрямую влияет на развитие внутренних напряжений сушки. Этот механизм имеет очень сложный характер, который дополнительно осложняется тем, что одновременно с прогревом материала происходит сушка поверхностных слоёв.

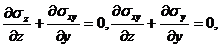
Общая постановка плоской задачи термовлагопроводности в декартовых координатах заключается в определении восьми функций sz, sy, sxyez, ey, exy, uz, uy, удовлетворяющих при отсутствии объёмных сил двум уравнениям равновесия:

                                                                                  (1)

 

трём соотношениям между деформациями и напряжениями, а также трём соотношениям между деформациями и перемещениями:

                                                                       (2)

 

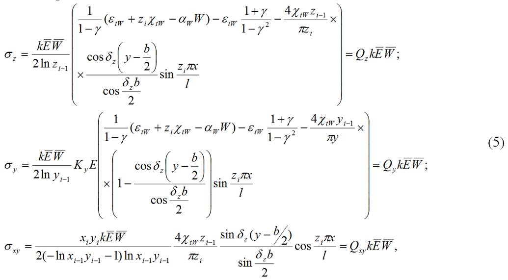
Теоретическая задача определения величины внутренних напряжений в зависимости от влажностно-температурного поля внутри ограниченной пластины как модели обрезного сортимента была успешно решена и получены следующие равенства  для внутренних напряжений по толщине, ширине и длине сортимента:

               

 

 

 

 

 

 

где - коэффициент усушки древесины; zi, yi, xi - относительные координаты;

 

  - приращение относительно начальной влажности WO, %;

 

- приращение модуля упругости, МПа;

 

            - нормальный прогиб.  

 

Результатом проведённого анализа напряжённо-деформированного состояния обрезного сортимента во время его гидротермической обработки являются 4-ступенчатые режимы низкотемпературного процесса  сушки   сосновых пиломатериалов в аэродинамических  сушильных камерах периодического действия (Таблица 1) [1].    

 

Таблица 1 - Режимы низкотемпературной сушки сосновых  пиломатериалов в аэродинамических камерах

ср. вл-сть, %

параметр

режима

номер режима

ас1

ас2

ас3

ас4

ас5

ас6

ас7

ас8

ас9

толщина, мм

22

25

32

40

50

60

70

80

90

1

2

3

4

5

6

7

8

9

10

11

 

 

>50

 

 

50-35

 

 

35-25

 

 

<25

 

 

t,0C

Δt,0C

φ

t,0C

Δt,0C

φ

t,0C

Δt,0C

φ

t,0C

Δt,0C

φ

 

66

5

0,78

55

7

0,68

60

10

0,58

75

24

0,31

 

66

5

0,78

55

7

0,68

60

10

0,58

75

24

0,31

 

66

4

0,82

55

6

0,72

60

9

0,61

75

23

0,34

 

64

4

0,82

53

6

0,72

58

9

0,61

73

23

0,34

 

64

4

0,82

53

6

0,72

58

9

0,61

73

23

0,34

 

64

4

0,82

53

5

0,76

58

8

0,65

73

21

0,38

 

62

3

0,86

52

4

0,80

56

7

0,68

71

20

0,37

 

60

2

0,90

51

3

0,84

53

6

0,72

68

19

0,37

 

58

1

0,95

50

2

0,90

50

5

0,75

66

18

0,39

 

Выводы:

- полученные теоретические зависимости являются универсальными и позволяют использовать как одноосные модели (необрезная доска) при относительных координатах, равных единице, так и двух- (обрезная доска) и трёхосные (черновая заготовка) модели;

- анализ напряжённо-деформированного состояния обрезного сортимента во время его гидротермической обработки позволил обосновать энергосберегающий способ сушки, позволяющий снизить энергозатратность и продолжительность процесса по сравнению с режимами РТМ.

 

Литература

1.    Патент РФ №2319915 С1 Способ сушки пиломатериалов [Текст] / А.Н. Чернышев, А.А. Филонов.- МКП7  F28 В1/00, 3/04.  –№20061116335/06; Заявл.12.05.2006; Опубл. 20.03.2008, Бюл.№30. -4с.

Сайт управляется системой uCoz